တတ်မီးစက် နီးပါးလူကြိုက်အများဆုံးဖြစ်ပါသည် မီးစက်တစ်စုံ ပါဝါဘူတာရုံစက်မှုလုပ်ငန်းအမျိုးမျိုးတို့ကိုများတွင်ကျယ်ပြန့်အသုံးပြုခဲ့ လောကီနိုင်ငံအရပ်ရပ်ရှိသမျှကျော်။ တတ်ဒီဇယ်အင်ဂျင်လုပ်နိုင်တဲ့၏ကမ္ဘာလုံးဆိုင်ရာဝန်ဆောင်မှုကွန်ယက်ကို ယုံကြည်စိတ်ချရသောနှင့်အာမခံချက်ဝန်ဆောင်မှုနှင့်အတူဖောက်သည်ပေး။ ၏တနျခိုးအကွာအဝေး တတ် genset နေ 24kw အထိ 1800kw ။
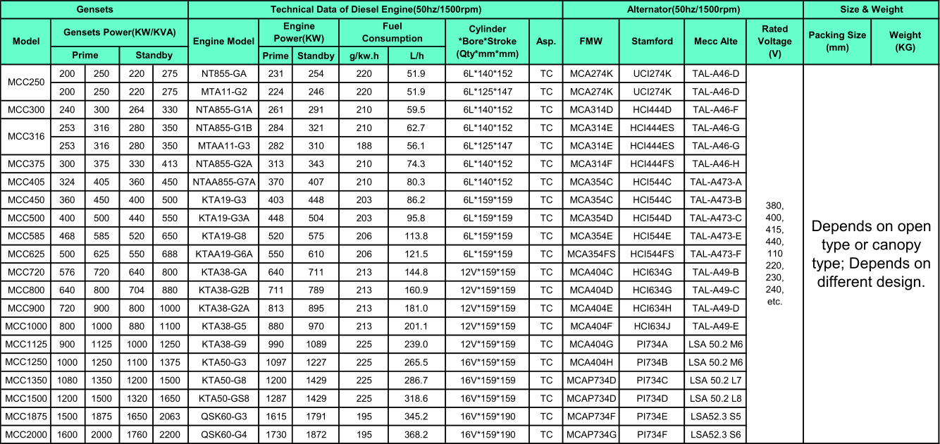
1. တတ်အင်ဂျင် Generator ကိုပင်မ Specification
Dongfeng တတ် Generator ကို

ချုံကင်းတတ် Generator ကို

2. တတ် Generator ကို Se t ကို
3. Generator ကိုအင်္ဂါရပ်များနှင့်ထောက်ပံ့ရေး Scope
|
စံအစိတ်အပိုင်းများ
|
optional အစိတ်အပိုင်းများ
|
|
အသစ်စက်စက်ရီကာဒို, Lijia နှင့် Styer စီးရီးဒီဇယ်အင်ဂျင်
|
မူရင်း Stamford, Leroy Somers နဲ့ Mecc Alte Alternator သည်
|
|
အသစ်စက်စက် Brushless MCA Alternator သည် (အတန်းအစား H ကို, IP23, AVR)
|
အလိုအလျောက်လွှဲပြောင်း Switch (A.T.S) မီးစက်ထိန်းချုပ်မှုစနစ်အား
|
|
8 နာရီလောင်စာဆီတိုင်ကီနှင့်အတူမိုးသည်းထန်စွာတာဝန်သံမဏိအခြေစိုက်စခန်းသည် frame
|
အလားတူမီးစက်ထိန်းချုပ်မှုစနစ်အား
|
|
အသံတိတ်မီးစက်များအတွက် 2MM-4MM သံမဏိ soundproof မြတ်သော
|
8 နာရီထက်ပိုကြီးစိတ်ကြိုက်လောင်စာဆီတိုင်ကီ အပြေး
|
|
ကာကွယ်စောင့်ရှောက်ရေးအသားတင်နှင့်အတူအန္တရာယ်ကင်းရှင်းရေးကိုယ်ရံတော်ရေတိုင်ကီ
|
မိုးသည်းထန်စွာတာဝန် 50 ℃ ကြေးဝါကိုရေတိုင်ကီ
|
|
မိုးသည်းထန်စွာတာဝန်ရော်ဘာ Anti-တုန်ခါမှု damper
|
Deepsea7320, Smartgen6110 သို့မဟုတ် ComAp AMF25 မီးစက် controller ကို
|
|
ပြောင်းလွယ်ပြင်လွယ်နှုတ်ဖြင့်မိုးသည်းထန်စွာတာဝန်စက်မှုဇုန်အမျိုးအစားတိတ်ဆိတ်
|
အလွန်အေးလွန်းတဲ့ရာသီဥတုဘို့ရေကိုအပူပေးစက် / lub-ရေနံအပူပေးစက်
|
|
ပြည်နယ်-စံမြင့်မားတဲ့စွမ်းဆောင်ရည် Non-ပြုပြင်ထိန်းသိမ်းမှုဘက်ထရီ
|
ထိုကဲ့သို့သော ABB, Schneider နှင့် Siemens အဖြစ်အီလက်ထရောနစ်
|
|
Deepsea6020, Smartgen420 သို့မဟုတ် ComAp MRS11 မီးစက် controller ကို
|
အတူ Cumtomized စူပါအသံတိတ်မိုး High-density ကိုရေမြှုပ်
|
|
အနိမ့်ရေနံဖိအား, အပူ, Overload နှင့် overspeed ကာကွယ်မှု
|
စွန်ခံ-သံမဏိသော့, ရေနံယိုစီးမှုစုပ်စက်, ဖုန်မှုန့်စစ်ထုတ်အဖြစ်အထူးတစ်စိတ်တစ်ပိုင်း စသည်တို့ကို
|
|
ထိုကဲ့သို့သောရပ်တန့်ကေဘယ်လ်, circuirt အနိုင်အထက်, relay ကို, ဆီမီးခွက်, ဖျူးအဖြစ်နိုင်ငံပိုင်စံအီလက်ထရွန်းနစ် စက်ကိရိယာ။
|
အပိုအင်ဂျင်နဲ့ Alternate အားလပ်ချိန်မှာအဖြစ် filter ကို, gasket, nozzle, AVR, Rectifier
|
|
Tool ကို genset ၏စစ်ဆင်ရေးလက်စွဲနှင့်အတူကိရိယာအစုံ, အင်ဂျင်, နဲ့ Alternate
|
ပြုပြင်ထိန်းသိမ်းမှုအဘို့အ tools များ၏အမျိုးပေါင်းနှင့်အတူ Deluxe ကိရိယာသေတ္တာ
|
4. စံပြီးတော့လက်မှတ်

ကျွန်ုပ်တို့၏ဒီဇယ်မျိုးဆက် 5. အားသာချက်

① high-နျ Standard ပစ္စည်းများနှင့်အားလပ်ချိန်မှာ
● screw နှစ်ခု, ဝက်ဝံ, ဆူညံသံရေမြှုပ်, ဝါယာကြိုးများ, တုန်ခါမှု-ကိုစုပ်ယူ, ထပ်ဆင့်လွှင်, AVR, diode, gauge, ထင်းရူးထံမှ, ဒါပေါ်မှာကြေးနီဝါယာကြိုး, သံမဏိပြား, မီတာ, controller စဘက်ထရီ AMF, ATS နှင့်ရန်။
② ပညာတတ်-high နှင့်အတွေ့အကြုံရှိပြီးသားသုတေသနနှင့်ဖွံ့ဖြိုးရေးအသင်း
●အလွန်-ပရော်ဖက်ရှင်နယ်သုတေသနနှင့်ဖွံ့ဖြိုးတိုးတက်ရေးအဖွဲ့နှင့်အတူပါဝါ manufactuer စံ FMW နိုင်ပါတယ်မသာ ယုံကြည်စိတ်ချရသောအရည်အသွေးမြင့်မီးစက်ဒါပေမယ့်လည်း FMW ပါဝါ, ထိုကဲ့သို့သောစူပါအသံတိတ်မီးစက်အဖြစ်မီးစက်အမျိုးမျိုးဒီဇိုင်းနိုင်ပါတယ် ကွန်တိန်နာပါဝါဘူတာရုံ, client ကိုရဲ့ထူးခြားတဲ့တောင်းဆိုချက်များနှင့်အညီအသိဉာဏ်မီးစက်။
③ ယုံကြည်စိတ်ချရသောစွမ်းဆောင်ရည်ပြီးတော့သတ်မှတ်ထား
ဗို့အားစည်းမျဉ်းဥပဒေ:
●အခမဲ့-ဝန်ဗို့ setting ကိုrange≥ (95-105)% Un
1.0% ±●ပုံမှ-ပြည်နယ်ဗို့အားစည်းမျဉ်းစည်းကမ်းrate≤
● TR ansient-ပြည်နယ်ဗို့အားစည်းမျဉ်းစည်းကမ်းrate≤ + 20% / - 15%
●ဗို့အားပြန်လည်နာလန်ထူtime≤1.0S
0.5% ±●ဗို့အားပွောငျးခွငျးratio≤
●အေး / hot-ပြည်နယ်ဗို့ratio≤2%
frequency / မြန်နှုန်း Undulation:
0-100% ကနေ●ပြောင်းလဲခြင်းဝန်, ကြိမ်နှုန်း / မြန်နှုန်း 5% အတွင်းအချိုးတွဲ။
● 25-100% မှ Load, မည်သည့်တည်ငြိမ်ဝန်ကြိမ်နှုန်း / မြန်နှုန်း undulation 0.25% အတွင်း
တယ်လီကွန်း Effect Factor:
● TIF (MA MG1-22) 50 ထက် သာ. ကောင်း၏
2% ထက်● THF (BS EN60034) ပိုကောင်းတဲ့
စံနှုန်း:
● ISO8528, GB ကို / T2820
● EN12601: 2001, EN60034-22: 1997, EN60204-1: 2006
● ISO9001: 2008 အရည်အသွေးထိန်းချုပ်ရေးစနစ်
● insulator တွင်လည်းတော်လှန်ရေး GB5226.1-2002-19.3 နှင့်အညီစမ်းသပ်ခံရ
GB7 နှင့်အညီစမ်းသပ်ခံရ●ဒဏျခံ-ဗို့အား 55-2000-8.1 (60 ဖွငျ့ 1500V နှင့်အတူ)
ညီစမ်းသပ်ပြီး●အားလုံးသည်လျှပ်စစ်အားလပ်ချိန်မှာ GB5226.1-2002-19.6 နှင့်အတူ
●စက်မှုလုံခြုံရေးအညီစမ်းသပ်စစ်ဆေး GB ကိုအတူ / T820.8-2002-6.3
GB ကို / T2820.8-20 နှင့်အညီစမ်းသပ်စစ်ဆေး●မီးသတ်-သက်သေပြချက် 02-6.4 / 6.5
●အားလုံးမီးစက်အစုံ 25%, 50%, 75%, 100% နှင့် 110% Load အားဖြင့်တင်းကြပ်စွာကြည့်ရှုစစ်ဆေးသည်နေကြသည်။